Riesgo de fractura posterior tras una fractura previa en mujeres añosas
27 de febrero 2019
Risk of subsequent fracture after prior fracture among older women. A. Balasubramanian; J. Zhang, L. Chen, D. Wenkert, G. Daigle, A. Grauer, et. al. Osteoporosis International (2019) 30: 79–92
![]()
Resumen
Introducción La fractura previa es un fuerte predictor de fractura subsiguiente; sin embargo, las tasas de tratamiento posteriores a la fractura son bajas. La cuantificación del riesgo inminente (12 a 24 meses) de fractura posterior en mujeres mayores puede aclarar la necesidad de un manejo temprano posterior a la fractura.
Métodos Este estudio de cohorte retrospectivo utilizó datos de Medicare. Se incluyeron mujeres ⥠65 años que sufrieron una fractura clínica (vertebral y no vertebral) y se agregaron en forma continua desde la fecha índice (fecha de la fractura inicial) y con seguimientos posteriores. La incidencia acumulada de fracturas posteriores se calculó desde 30 días después del evento hasta 1, 2 y 5 años después. Para las fracturas apendiculares, sólo se contaron las que requirieron hospitalización o reparación quirúrgica. La muerte fue considerada un riesgo competitivo.
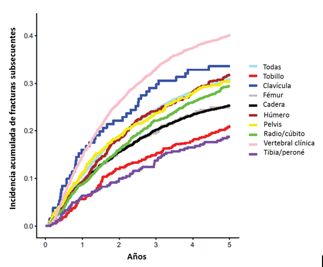
Resultados Entre 377.561 mujeres (210.621 con seguimiento a los 2 años y 10.969 con seguimiento a los 5 años), el riesgo acumulado de fractura subsiguiente fue de 10%, 18% y 31% a 1, 2 y 5 años después de la fecha índice, respectivamente. Entre las mujeres de 65 a 74 años con fracturas clínicas iniciales de vértebra, cadera, pelvis, fémur o clavícula, y todas las mujeres ⥠75 años sin importar el lugar de la fractura inicial, se fracturó nuevamente el 7–14% en 1 año; el riesgo aumentó a 15–26% en 2 años y 28–42% en 5 años. El riesgo de fractura de cadera posterior superó el 3% en 5 años en todas las mujeres estudiadas, excepto en aquellas < 75 años con una fractura inicial de tibia / peroné o tobillo.
Conclusiones Se observó un muy alto riesgo de fractura subsiguiente después de una amplia gama de fracturas iniciales. El manejo farmacológico oportuno está justificado en mujeres mayores posterior a todos los tipos de fracturas evaluados.
Comentario:
La osteoporosis produce en todo el mundo aproximadamente nueve millones de fracturas al año, una estimación que se prevé que aumente a medida que la población envejece. Las fracturas osteoporóticas se asocian con una mayor mortalidad, discapacidad, y disminución funcional a largo plazo.
Las tasas de tratamiento de la osteoporosis después de una fractura en mujeres posmenopáusicas son bajas, a pesar de conocerse que una fractura reciente se encuentra entre los principales factores predictivos de una futura fractura osteoporótica. Los criterios de diagnóstico y tratamiento de osteoporosis incluyen haber sufrido fracturas de cadera o vertebrales, independientemente de la densidad mineral ósea (DMO); tener baja masa ósea más antecedentes de otras fracturas por mínimos traumas y / o un mayor riesgo de fractura según lo evaluado por el FRAX ®.
Aunque se reconoce que las mujeres mayores que se han fracturado corren un mayor riesgo de hacerlo nuevamente, la magnitud de este riesgo y la contribución de otros factores de riesgo clínicos son menos conocidos. Los estudios indican que el riesgo es mayor inmediatamente después de la fractura inicial, y que la ubicación de la fractura inicial también puede influir en la magnitud de riesgo de fractura posterior. Las herramientas de predicción del riesgo de fracturas como el FRAX ®, incorporan el dato de una fractura previa y los antecedentes de fractura de cadera en los padres, pero no predicen el riesgo de fractura inminente (de 12 a 24 meses) y no hacen distinción entre los diferentes tipos de fracturas previas.
Utilizando datos de más de 350.000 mujeres estadounidenses con nuevas fracturas clínicas (fracturas clínicas vertebrales y no vertebrales), el objetivo de este estudio fue cuantificar la incidencia de fracturas subsiguientes en puntos de tiempo específicos después de la fractura inicial y evaluar los impactos de la edad, el sitio esquelético de la fractura inicial y otras características del paciente sobre el riesgo de fractura posterior.
Se estudiaron 377.561 mujeres con fracturas clínicas incidentales, quienes cumplieron todos los criterios de elegibilidad para evaluar el riesgo de 1 año de fractura posterior. De estos, 210.621 y 10.969 mujeres tuvieron un seguimiento suficiente para evaluar los riesgos de 2 y 5 años, respectivamente.
El 10%, 18% y 31% de todas las mujeres se fracturaron nuevamente dentro de 1, 2 y 5 años, respectivamente, después de su fractura clínica inicial, independientemente del sitio. Ver Tabla 1.

Tabla 1: Incidencias acumuladas de una fractura nueva posterior a fracturas en cualquier sitio, y aquellas localizadas en columna y cadera al año, 2 y 5 años después de la fractura inicial dividido por grupo de edad (años).
Desde el momento de su fractura inicial, el riesgo de fractura posterior disminuyó con el tiempo ya que el 35% de las fracturas posteriores se produjeron dentro del primer año de seguimiento después de la fractura inicial. Ver Gráfico 1

Gráfico 1: Tiempo hasta la posterior fractura en pacientes con al menos 5 años de seguimiento. El riesgo de fractura posterior disminuyó con el tiempo, después de la fractura inicial.
Entre las mujeres de 65 a 74 años, el 14% experimentó una fractura clínica dentro del año después de una fractura vertebral clínica inicial; 10% dentro de 1 año después de la fractura de cadera, pelvis, fémur o clavícula; y 5-6% dentro de 1 año después de la fractura inicial en otros sitios, excepto el tobillo. El riesgo a 5 cinco años en este grupo de edad superó el 20% después de la fractura inicial en todos los sitios. Ver Tabla 1
Entre las mujeres ⥠75 años, el riesgo de fractura posterior fue de 7 a 12% en 1 año, 15 a 20% en 2 años y de 28 a 33% en 5 años después de la mayoría de los tipos de fracturas. Los riesgos fueron más altos después de la fractura vertebral clínica, con riesgos de 1 y 2 años de 14% y 26. El riesgo a 5 años de fractura subsiguiente después de una fractura vertebral clínica inicial para mujeres de 75 a 84 años fue del 42% y fue comparable al de las mujeres ⥠85 años (38%). Ver Tabla 1
El riesgo de fractura de cadera en 1, 2 y 5 años después de cualquier fractura clínica fue de 2.4%, 4.8% y 10.2%, respectivamente. Estratificado por edad el riesgo de fractura de cadera fue de mayor magnitud cuanto más edad tenían las pacientes (especialmente las ⥠85 años).
En mujeres de todos los grupos de edad con fractura vertebral clínica inicial, fracturas de pelvis, clavícula, cadera o fémur, y mujeres de edad ⥠75 años con húmero inicial, radio / cúbito o fracturas de tibia / peroné, el riesgo de fractura posterior de cadera en 2 años fue ⥠3%.
Las tasas de mortalidad dentro de 1, 2 y 5 años después de la fractura inicial fueron 19%, 31% y 64%, respectivamente después de fracturas de cadera, y 14%, 24% y 54%, respectivamente, después de fracturas vertebrales clínicas.
Las características basales que influyeron en el riesgo de fractura subsiguiente de 1 año en más del 20% incluyeron grupo de edad, raza, localización esquelética de la fractura inicial, antecedentes de fracturas, antecedentes de trastornos del sistema nervioso, uso de benzodiazepinas y consumo de tabaco. Los resultados fueron similares para riesgos de 2 y 5 años. En el análisis de subgrupos entre mujeres ⥠85 años de edad, el análisis de más de 30 comorbilidades indicó que sólo los diagnósticos iniciales de osteoporosis y la presencia de debilidad tuvieron efectos estadísticamente significativos en cada punto de tiempo. El uso de benzodiacepinas, el uso de inhibidores de la bomba de protones y la presencia de EPOC fueron significativos en algunos, pero no en todos los puntos temporales.
La alta proporción de mujeres con fracturas vertebrales clínicas que sufrieron una fractura posterior en este estudio (en promedio 25% de riesgo a los 2 años y 40% de riesgo a los 5 años) respaldan la recomendación de tratamiento farmacológico para mujeres posmenopáusicas con fracturas de cadera y vertebrales independientemente de la DMO.
Actualmente, la farmacoterapia para la osteoporosis también se recomienda para mujeres con baja masa ósea si el riesgo previsto de fracturas a 10 años basado en FRAX ® cumple o supera el 20% para fracturas osteoporóticas mayores o 3% para fracturas de cadera. En este estudio, se observó > 3% de riesgo de fractura de cadera dentro de los 5 años posteriores a todos los tipos de fracturas iniciales en mujeres en todos los grupos de edad, excepto en mujeres de 65 a 74 años con fracturas iniciales de tibia / peroné o tobillo.
Varios subgrupos de mujeres en los grupos de edad mayores y menores cumplieron con este umbral de riesgo dentro de los 2 años posteriores a la fractura inicial. En base a estos resultados, todas las mujeres> 65 años con una fractura incidente de los tipos estudiados, tendrían un riesgo de fractura comparable o superior al umbral de riesgo considerado para indicar tratamiento dentro de las guías clínicas.
Según estudios anteriores, el mayor riesgo de fractura posterior en mujeres con fracturas previas parece ser independiente de la DMO (dato que no fue tenido en cuenta en este trabajo). En el Programa de Densidad Ãsea de Manitoba, en comparación con las mujeres sin fractura previa, aquellas con fractura previa tenían un riesgo de 1.4 a 2.0 veces mayor (dependiendo del sitio de la fractura inicial) de una fractura osteoporótica mayor después de considerar la edad y la DMO. Se estimó que aproximadamente el 39% de las fracturas subsiguientes en mujeres ocurrieron en pacientes con masa ósea normal o baja. Un metaanálisis de 11 cohortes internacionales informó que la baja DMO explicaba sólo el 8% del riesgo de fractura posterior entre los pacientes con fractura previa.
La inclusión del 100% de las mujeres con fractura en los últimos años aseguradas por Medicare proporcionó una gran población representativa de pacientes de edad avanzada. Sin embargo, este tipo de estudios plantea ciertas limitaciones. Los resultados clínicos, como las fracturas, podrían haberse detectado con menor precisión. Las fracturas vertebrales podrían no diagnosticarse, ya que los pacientes pueden no buscar atención médica y, por lo tanto, pueden no aparecer en las fuentes de datos. Además, distinguir fracturas incidentes frente a fracturas previas también puede ser un desafío.
Para evitar falsos positivos se incluyeron todas las fracturas no vertebrales que hubieran estado hospitalizadas o reparadas quirúrgicamente. Por esta razón, estas estimaciones de riesgo de fractura son conservadoras y probablemente representan una subestimación modesta, especialmente para algunos sitios de fractura (por ejemplo, muñeca / antebrazo) que a menudo no requieren hospitalización o reparación quirúrgica. Los datos carecían de información sobre ciertos factores predictores conocidos de fractura, incluida la DMO y el índice de masa corporal. Sin embargo, estos factores pueden ser menos críticos en este estudio de mujeres con una fractura reciente, ya que los factores predictivos conocidos de los eventos por primera vez, a menudo muestran efectos más pequeños en los eventos recurrentes.
En resumen, este estudio a nivel nacional demostró un alto y temprano riesgo de fracturas subsiguientes entre las mujeres mayores que se fracturaron inicialmente. Independientemente del sitio de fractura inicial, las mujeres en todos los grupos de edad estudiados tenían un riesgo de fractura comparable o superior a los umbrales de riesgo considerados para la farmacoterapia de la osteoporosis en las guías clínicas. Estos hallazgos resaltan la necesidad de un tratamiento oportuno para reducir el riesgo de fracturas posteriores en mujeres posmenopáusicas que ya han sufrido una fractura.
Copyrigth2019 ENDOweb. Citar este artículo: Riesgo de fractura posterior tras una fractura previa en mujeres añosas. – 27 de Feb 2019
Comentarios (-)
Todavía no hay comentarios en este artículo. ¡Nos encantaría conocer tu opinión!